Microwave frequency selective surface#
A Frequency Selective Surface (FSS) is a type of electromagnetic structure that allows certain frequencies to pass through while reflecting or blocking other frequencies. It is composed of a periodic array of conductive or dielectric elements that are spaced apart at a distance that is much smaller than the wavelength of the electromagnetic radiation. The FSS can be designed to selectively filter and manipulate the electromagnetic waves that pass through it based on the geometry, spacing, and material properties of its constituent elements. It is often used as a passive component in microwave and millimeter-wave devices, such as antennas, radars, filters, and absorbers.
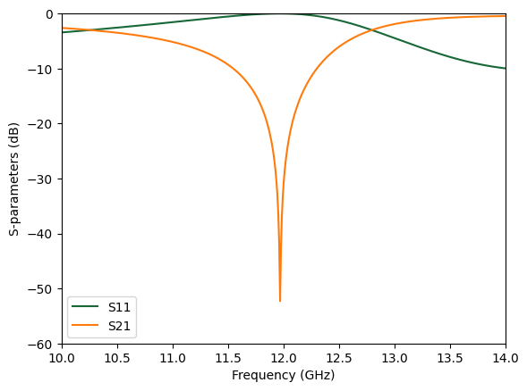
This notebook provides a demonstration of a microwave FSS composed of copper cross structures. Due to its very thin copper layer (0.1 mm) compared to the wavelength (~2.5 cm), we model the copper layer as a 2D surface conductivity to ensure computational efficiency. The FSS has been designed to exhibit a stop band at 12 GHz, where the transmission (S21) reaches as low as -50 dB. By visualizing the field distribution at the resonant frequency, we can observe the dipolar resonance feature of the copper structure. This simulation showcases the effectiveness of FSSs as passive components in microwave devices, and their ability to manipulate electromagnetic waves with high precision.

If you are new to the finite-difference time-domain (FDTD) method, we highly recommend going through our FDTD101 tutorials. For more simulation examples, please visit our examples page. FDTD simulations can diverge due to various reasons. If you run into any simulation divergence issues, please follow the steps outlined in our troubleshooting guide to resolve it.
[1]:
import matplotlib.pyplot as plt
import numpy as np
import tidy3d as td
import tidy3d.web as web
Simulation Setup#
The default frequency unit in Tidy3D is Hz. For convenience, we prefer to work with GHz in this example. A frequency range from 10 GHz to 14 GHz is studied while the FSS is designed to resonate at 12 GHz.
[2]:
GHz = 1e9 # 1 GHz = 1e9 Hz
freq0 = 12 * GHz # central frequency
freqs = np.linspace(10, 14, 500) * GHz # frequency range of interest
fwidth = 0.5 * (np.max(freqs) - np.min(freqs)) # width of the source spectrum
lda0 = td.C_0 / freq0 # central wavelength
The default length unit in Tidy3D is \(\mu m\). For convenience, we prefer to work with mm in this example. Here we define the geometric parameters such as the length and width of the cross structure.
[3]:
mm = 1e3 # 1 mm = 1e3 um
P = 15 * mm # periodicity of the unit cell
L = 9.4 * mm # length of the cross
W = 2 * mm # width of the cross
t_sub = 2.2 * mm # thickness of the substrate
t_copper = 0.1 * mm # thickness of the copper layer
Since the copper layer is very thin, we model it as a Medium2D instead of a regular Medium. This way, we do not need to use a very fine grid to resolve the actual thickness of the copper layer. The conductivity of copper is about \(5\times 10^7\) S/m, which is 50 S/\(\mu m\). We use the
from_medium method to construct a Medium2D from a regular Medium.
[4]:
sigma_copper = 50 # copper conductivity in S/um
copper = td.Medium2D.from_medium(
td.Medium(conductivity=sigma_copper), thickness=t_copper
) # define copper as a Medium2D
eps_sub = 2.5 # permittivity of the substrate
sub_medium = td.Medium(permittivity=eps_sub) # define substrate medium
Next, we define the Structures. Medium2D can only be applied to geometry with zero thickness in one of the dimensions.
[5]:
cross = []
cross.append(
td.Structure(
geometry=td.Box.from_bounds(rmin=(-L / 2, -W / 2, t_sub), rmax=(L / 2, W / 2, t_sub)),
medium=copper,
)
)
cross.append(
td.Structure(
geometry=td.Box.from_bounds(rmin=(-W / 2, -L / 2, t_sub), rmax=(W / 2, L / 2, t_sub)),
medium=copper,
)
)
substrate = td.Structure(
geometry=td.Box(center=(0, 0, t_sub / 2), size=(td.inf, td.inf, t_sub)),
medium=sub_medium,
)
A PlaneWave source polarized in the x direction is added as the incident wave from the top of the FSS. To measure reflection (S11) and transmission (S21), two FluxMonitors are added on the top and bottom of the simulation domain. Lastly, to visualize the resonant mode field, a FieldMonitor is added to the copper layer plane.
[6]:
offset = lda0 / 2 # extra spacing added in the positive and negative z directions
# define a plane wave source
plane_wave = td.PlaneWave(
center=(0, 0, t_sub + 0.1 * offset),
size=(td.inf, td.inf, 0),
source_time=td.GaussianPulse(freq0=freq0, fwidth=fwidth),
direction="-",
)
# define a flux monitor to measure reflection
S11_monitor = td.FluxMonitor(
center=(0, 0, t_sub + offset),
size=(td.inf, td.inf, 0),
freqs=freqs,
name="S11",
)
# define a flux monitor to measure reflection
S21_monitor = td.FluxMonitor(
center=(0, 0, -t_sub - offset),
size=(td.inf, td.inf, 0),
freqs=freqs,
name="S21",
normal_dir="-",
)
# define a field monitor to visualize field distribution
field_monitor = td.FieldMonitor(
center=(0, 0, t_sub), size=(td.inf, td.inf, 0), freqs=[freq0], name="field"
)
With the previously defined structures, source, and monitors, we are ready to define a Tidy3D Simulation. Periodic boundary condition is applied in the \(x\) and \(y\) directions while PML is applied in the \(z\) direction.
We also set up automatic nonuniform grids. In addition, we use a mesh override structure around the FFS unit cell to further refine the grids.
[7]:
# simulation domain size in z
Lz = t_sub + 2.2 * offset
# define a BoundarySpec
boundary_spec = td.BoundarySpec(
x=td.Boundary.periodic(),
y=td.Boundary.periodic(),
z=td.Boundary(minus=td.PML(), plus=td.PML()),
)
# define a mesh override structure
refine_box = td.Structure(
geometry=td.Box(center=(0, 0, t_sub / 2), size=(td.inf, td.inf, 2 * t_sub)),
medium=td.Medium(permittivity=5**2),
)
# define a GridSpec
grid_spec = td.GridSpec.auto(
min_steps_per_wvl=100, wavelength=lda0, override_structures=[refine_box]
)
run_time = 1e-8 # simulation run time
# define simulation
sim = td.Simulation(
size=(P, P, Lz),
grid_spec=grid_spec,
structures=[substrate] + cross,
sources=[plane_wave],
monitors=[S11_monitor, S21_monitor, field_monitor],
run_time=run_time,
boundary_spec=boundary_spec,
symmetry=(-1, 1, 0), # symmetry is used to reduce the computational load
)
08:29:38 CEST WARNING: โน๏ธ โ ๏ธ RF simulations are subject to new license requirements in the future. You are using RF-specific components in this simulation. - Contains sources defined for RF wavelengths. - Contains monitors defined for RF wavelengths.
Before submitting the simulation job to the server, we can validate the simulation setup by plotting it. Here we overlay the grids on top to make sure the grid is sufficiently fine compared to the structure sizes.
[8]:
f, ax = plt.subplots(1, 2, tight_layout=True, figsize=(10, 5))
sim.plot(z=t_sub, ax=ax[0])
sim.plot_grid(z=0, ax=ax[0])
ax[0].set_xlim(0, 5000)
ax[0].set_ylim(0, 5000)
sim.plot(x=0, ax=ax[1])
sim.plot_grid(x=0, ax=ax[1])
ax[1].set_xlim(0, 5000)
ax[1].set_ylim(-2000, 5000)
plt.show()
Submit the simulation job to the server.
[9]:
job = web.Job(simulation=sim, task_name="frequency_selective_surface")
sim_data = job.run(path="data/simulation_data.hdf5")
08:29:41 CEST Created task 'frequency_selective_surface' with task_id 'fdve-6fda2321-a3d2-4cf0-bfa5-a76b7f65598a' and task_type 'FDTD'.
View task using web UI at 'https://tidy3d.simulation.cloud/workbench?taskId=fdve-6fda2321-a3 d2-4cf0-bfa5-a76b7f65598a'.
Task folder: 'default'.
08:29:44 CEST Maximum FlexCredit cost: 0.179. Minimum cost depends on task execution details. Use 'web.real_cost(task_id)' to get the billed FlexCredit cost after a simulation run.
08:29:45 CEST status = success
08:29:48 CEST loading simulation from data/simulation_data.hdf5
WARNING: Warning messages were found in the solver log. For more information, check 'SimulationData.log' or use 'web.download_log(task_id)'.
Result Visualization#
After the simulation is complete, we first visualize the S-parameters. A prominent resonance feature is observed at 12 GHz where S21 reaches -50 dB.
[10]:
S11 = sim_data["S11"].flux
S21 = sim_data["S21"].flux
plt.plot(freqs / GHz, 10 * np.log10(S11), label="S11")
plt.plot(freqs / GHz, 10 * np.log10(S21), label="S21")
plt.xlim(10, 14)
plt.ylim(-60, 0)
plt.xlabel("Frequency (GHz)")
plt.ylabel("S-parameters (dB)")
plt.legend()
plt.show()
Lastly, we plot the field intensity distribution at the resonant frequency. A strong dipolar field pattern is observed in the horizontal copper pattern. This dipolar resonance is responsible for the total reflection of the electromagnetic wave at this frequency.
[11]:
sim_data.plot_field(field_monitor_name="field", field_name="E", val="abs^2")
plt.show()
08:29:49 CEST WARNING: The permittivity of a 'Medium2D' is unphysical. Use 'Medium2D.to_anisotropic_medium' or 'Medium2D.to_pole_residue' first to obtain the physical refractive index.
[ ]: